So concretely X2 subscript 3, will refer to feature number three in the x factor which is equal to 2,right? That was a 3 over there, just fix my handwriting. So x2 subscript 3 is going to be equal to 2.And so, the inner product that is theta transpose X is just equal to this. This gives us a convenient way to write the form of the hypothesis as just the inner product between our parameter vector theta and our theta vector X. And it is this little bit of notation, this little excerpt of the notation convention that let us write this in this compact form. So that's the form of a hypthesis when we have multiple features. And, just to give this another name, this is also called multivariate linear regression. 8분 15초부터 동영상을 재생하고 스크립트 따르기8:15 And the term multivariable that's just maybe a fancy term for saying we have multiple features, or multivariables with which to try to predict the value Y.
Multiple Features
Note:[7:25 -\theta^TθTis a 1 by (n+1) matrix and not an (n+1) by 1 matrix]
Linear regression with multiple variables is also known as "multivariate linear regression".
We now introduce notation for equations where we can have any number of input variables.
x(i)jx(i)mn=value of feature j in the ith training example=the input (features) of the ith training example=the number of training examples=the number of features
The multivariable form of the hypothesis function accommodating these multiple features is as follows:
In order to develop intuition about this function, we can think about\theta_0θ0as the basic price of a house,\theta_1θ1as the price per square meter,\theta_2θ2as the price per floor, etc.x_1x1will be the number of square meters in the house,x_2x2the number of floors, etc.
Using the definition of matrix multiplication, our multivariable hypothesis function can be concisely represented as:
hθ(x)=[θ0θ1...θn]⎡⎣⎢⎢⎢x0x1⋮xn⎤⎦⎥⎥⎥=θTx
Remark: Note that for convenience reasons in this course we assumex_{0}^{(i)} =1 \text{ for } (i\in { 1,\dots, m } )x0(i)=1 for (i∈1,…,m).
This allows us to do matrix operations with theta and x. Hence making the two vectors '\thetaθ' andx^{(i)}x(i)match each other element-wise (that is, have the same number of elements: n+1).]This is a vectorization of our hypothesis function for one training example; see the lessons on vectorization to learn more.
Gradient Descent For Multiple Variables
Gradient Descent for Multiple Variables
The gradient descent equation itself is generally the same form; we just have to repeat it for our 'n' features:
}repeat until convergence:{θ0:=θ0−α1m∑i=1m(hθ(x(i))−y(i))⋅x(i)0θ1:=θ1−α1m∑i=1m(hθ(x(i))−y(i))⋅x(i)1θ2:=θ2−α1m∑i=1m(hθ(x(i))−y(i))⋅x(i)2⋯
In other words:
}repeat until convergence:{θj:=θj−α1m∑i=1m(hθ(x(i))−y(i))⋅x(i)jfor j := 0...n
The following image compares gradient descent with one variable to gradient descent with multiple variables:
you can show mathematically, you can find a much more direct path to the global minimum rather than taking a much more convoluted path where you're sort of trying to follow a much more complicated trajectory to get to the global minimum. 2분 57초부터 동영상을 재생하고 스크립트 따르기2:57So, by scaling the features so that there are, the consumer ranges of values. In this example, we end up with both features, X one and X two, between zero and one.
So you want the range of values, you know, can be bigger than plus or smaller than plus one, but just not much bigger, like plus 100 here, or too much smaller like 0.00 one over there. Different people have different rules of thumb. But the one that I use is that if a feature takes on the range of values from say minus three the plus 3 how you should think that should be just fine, but maybe it takes on much larger values than plus 3 or minus 3 unless not to worry and if it takes on values from say minus one-third to one-third.subtract the mean of the feature and divide it by the range of values meaning the max minus min. And this sort of formula will get your features, you know, maybe not exactly, but maybe roughly into these sorts of ranges, and by the way, for those of you that are being super careful technically if we're taking the range as max minus min this five here will actually become a four. So if max is 5 minus 1 then the range of their own values is actually equal to 4, but all of these are approximate and any value that gets the features into anything close to these sorts of ranges will do fine. And the feature scaling doesn't have to be too exact, in order to get gradient descent to run quite a lot faster.
Gradient Descent in Practice I - Feature Scaling
Note:[6:20 - The average size of a house is 1000 but 100 is accidentally written instead]
We can speed up gradient descent by having each of our input values in roughly the same range. This is because θ will descend quickly on small ranges and slowly on large ranges, and so will oscillate inefficiently down to the optimum when the variables are very uneven.
The way to prevent this is to modify the ranges of our input variables so that they are all roughly the same. Ideally:
−1 ≤x_{(i)}x(i)≤ 1
or
−0.5 ≤x_{(i)}x(i)≤ 0.5
These aren't exact requirements; we are only trying to speed things up. The goal is to get all input variables into roughly one of these ranges, give or take a few.
Two techniques to help with this arefeature scalingandmean normalization. Feature scaling involves dividing the input values by the range (i.e. the maximum value minus the minimum value) of the input variable, resulting in a new range of just 1. Mean normalization involves subtracting the average value for an input variable from the values for that input variable resulting in a new average value for the input variable of just zero. To implement both of these techniques, adjust your input values as shown in this formula:
x_i := \dfrac{x_i - \mu_i}{s_i}xi:=sixi−μi
Whereμ_iμiis theaverageof all the values for feature (i) ands_isiis the range of values (max - min), ors_isiis the standard deviation.
Note that dividing by the range, or dividing by the standard deviation, give different results. The quizzes in this course use range - the programming exercises use standard deviation.
For example, ifx_ixirepresents housing prices with a range of 100 to 2000 and a mean value of 1000, then,x_i := \dfrac{price-1000}{1900}xi:=1900price−1000.
----
Concretely, here's the gradient descent update rule. And what I want to do in this video is tell you about what I think of as debugging, and some tips for making sure that gradient descent is working correctly. And second, I wanna tell you how to choose the learning rate alpha or at least how I go about choosing it.
Concretely, here's the gradient descent update rule.
And what I want to do in this video is tell you
about what I think of as debugging, and some tips for
making sure that gradient descent is working correctly.
And second, I wanna tell you how to choose the learning rate alpha or
at least how I go about choosing it.
iteration batch epoch 뜻
Notice that the x axis is number of iterations. Previously we where looking at plots of J(theta) where the x axis, where the horizontal axis, was the parameter vector theta but this is not what this is. Concretely, what this point is, is I'm going to run gradient descent for 100 iterations. And whatever value I get for theta after 100 iterations, I'm going to get some value of theta after 100 iterations. And I'm going to evaluate the cost function J(theta). For the value of theta I get after 100 iterations, and this vertical height is the value of J(theta). For the value of theta I got after 100 iterations of gradient descent. And this point here that corresponds to the value of J(theta) for the theta that I get after I've run gradient descent for 200 iterations.
It's also possible to come up with automatic convergence test, namely to have a algorithm try to tell you if gradient descent has converged. And here's maybe a pretty typical example of an automatic convergence test. And such a test may declare convergence if your cost function J(theta) decreases by less than some small value epsilon, some small value 10 to the minus 3 in one iteration. But I find that usually choosing what this threshold is is pretty difficult. And so in order to check your gradient descent's converge I actually tend to look at plots like these, like this figure on the left, rather than rely on an automatic convergence test. But if your learning rate is too big then if you start off there, gradient descent may overshoot the minimum and send you there. And if the learning rate is too big, you may overshoot again and it sends you there, and so on. Similarly sometimes you may also see J(theta) do something like this, it may go down for a while then go up then go down for a while then go up go down for a while go up and so on. And a fix for something like this is also to use a smaller value of alpha.
What I actually do is try this range of values. 8분 6초부터 동영상을 재생하고 스크립트 따르기8:06And so on, where this is 0.001. I'll then increase the learning rate threefold to get 0.003. And then this step up, this is another roughly threefold increase from 0.003 to 0.01. And so these are, roughly, trying out gradient descents with each value I try being about 3x bigger than the previous value. So what I'll do is try a range of values until I've found one value that's too small and made sure that I've found one value that's too large. And then I'll sort of try to pick the largest possible value, or just something slightly smaller than the largest reasonable value that I found. And when I do that usually it just gives me a good learning rate for my problem. And if you do this too, maybe you'll be able to choose a good learning rate for your implementation of gradient descent.
Gradient Descent in Practice II - Learning Rate
Note:[5:20 - the x -axis label in the right graph should be\thetaθrather than No. of iterations ]
Debugging gradient descent.Make a plot withnumber of iterationson the x-axis. Now plot the cost function, J(θ) over the number of iterations of gradient descent. If J(θ) ever increases, then you probably need to decrease α.
Automatic convergence test.Declare convergence if J(θ) decreases by less than E in one iteration, where E is some small value such as10^{−3}10−3. However in practice it's difficult to choose this threshold value.
It has been proven that if learning rate α is sufficiently small, then J(θ) will decrease on every iteration.
To summarize:
If\alphaαis too small: slow convergence.
If\alphaαis too large: may not decrease on every iteration and thus may not converge.
sometimes by defining new features you might actually get a better model. One thing you could do is fit a quadratic model like this. It doesn't look like a straight line fits this data very well. So maybe you want to fit a quadratic model like this where you think the size, where you think the price is a quadratic function and maybe that'll give you, you know, a fit to the data that looks like that. But then you may decide that your quadratic model doesn't make sense because of a quadratic function, eventually this function comes back down and well, we don't think housing prices should go down when the size goes up too high. So then maybe we might choose a different polynomial model and choose to use instead a cubic function, and where we have now a third-order term and we fit that, maybe we get this sort of model, and maybe the green line is a somewhat better fit to the data cause it doesn't eventually come back down. which is that if you choose your features like this, then feature scaling becomes increasingly important. So if the size of the house ranges from one to a thousand, so, you know, from one to a thousand square feet, say, then the size squared of the house will range from one to one million, the square of a thousand, and your third feature x cubed, excuse me you, your third feature x three, which is the size cubed of the house, will range from one two ten to the nine, and so these three features take on very different ranges of values, and it's important to apply feature scaling if you're using gradient descent to get them into comparable ranges of values.
ㅍ
So the square root function is this sort of function, and maybe there will be some value of theta one, theta two, theta three, that will let you take this model and, for the curve that looks like that, and, you know, goes up, but sort of flattens out a bit and doesn't ever come back down. And, so, by having insight into, in this case, the shape of a square root function, and, into the shape of the data, by choosing different features, you can sometimes get better models.
Features and Polynomial Regression
We can improve our features and the form of our hypothesis function in a couple different ways.
We cancombinemultiple features into one. For example, we can combinex_1x1andx_2x2into a new featurex_3x3by takingx_1x1⋅x_2x2.
Polynomial Regression
Our hypothesis function need not be linear (a straight line) if that does not fit the data well.
We canchange the behavior or curveof our hypothesis function by making it a quadratic, cubic or square root function (or any other form).
For example, if our hypothesis function ish_\theta(x) = \theta_0 + \theta_1 x_1hθ(x)=θ0+θ1x1then we can create additional features based onx_1x1, to get the quadratic functionh_\theta(x) = \theta_0 + \theta_1 x_1 + \theta_2 x_1^2hθ(x)=θ0+θ1x1+θ2x12or the cubic functionh_\theta(x) = \theta_0 + \theta_1 x_1 + \theta_2 x_1^2 + \theta_3 x_1^3hθ(x)=θ0+θ1x1+θ2x12+θ3x13
In the cubic version, we have created new featuresx_2x2andx_3x3wherex_2 = x_1^2x2=x12andx_3 = x_1^3x3=x13.
To make it a square root function, we could do:h_\theta(x) = \theta_0 + \theta_1 x_1 + \theta_2 \sqrt{x_1}hθ(x)=θ0+θ1x1+θ2x1
One important thing to keep in mind is, if you choose your features this way then feature scaling becomes very important.
eg. ifx_1x1has range 1 - 1000 then range ofx_1^2x12becomes 1 - 1000000 and that ofx_1^3x13becomes 1 - 1000000000
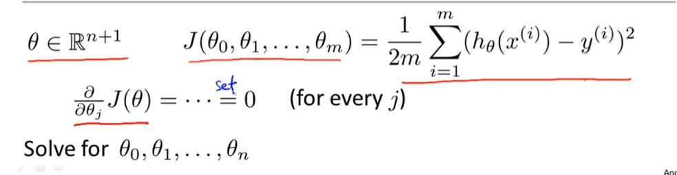
let's take a very simplified cost function J of Theta, that's just the function of a real number Theta. So, for now, imagine that Theta is just a scalar value or that Theta is just a row value. It's just a number, rather than a vector. you may know that the way to minimize a function is to take derivatives and to set derivatives equal to zero. So, you take the derivative of J with respect to the parameter of Theta. You get some formula which I am not going to derive, you set that derivative equal to zero, and this allows you to solve for the value of Theda that minimizes J of Theta.
In the problem that we are interested in, Theta is
no longer just a real number,
but, instead, is this
n+1-dimensional parameter vector, and,
a cost function J is
a function of this vector
value or Theta 0 through
Theta m.
Calculus actually tells us that, if you, that one way to do so, is to take the partial derivative of J, with respect to every parameter of Theta J in turn, and then, to set all of these to 0. If you do that, and you solve for the values of Theta 0, Theta 1, up to Theta N, then, this would give you that values of Theta to minimize the cost function J. I'm going to take my data set, so here are my four training examples. In this case let's assume that, you know, these four examples is all the data I have. What I am going to do is take my data set and add an extra column that corresponds to my extra feature, x0, that is always takes on this value of 1. What I'm going to do is I'm then going to construct a matrix called X that's a matrix are basically contains all of the features from my training data, so completely here is my here are all my features and we're going to take all those numbers and put them into this matrix "X", okay? Finally if you take your matrix X and you take your vector Y, and if you just compute this, and set theta to be equal to X transpose X inverse times X transpose Y, this would give you the value of theta that minimizes your cost function. There was a lot that happened on the slides and I work through it using one specific example of one dataset. Let me just write this out in a slightly more general form and then let me just, and later on in this video let me explain this equation a little bit more.The vector Y is obtained by taking all all the labels, all the correct prices of houses in my training set, and just stacking them up into an M-dimensional vector, and that's Y. Finally, having constructed the matrix X and the vector Y, we then just compute theta as X'(1/X) x X'Y.그래 이 밑에 x 는 이 index가 맞지 교수님이 잘못 그림 저건 In Octave X prime is the notation that you use to denote X transpose. And so, this expression that's boxed in red, that's computing X transpose times X. pinv is a function for computing the inverse of a matrix, so this computes X transpose X inverse, and then you multiply that by X transpose, and you multiply that by Y. So you end computing that formula which I didn't prove, but it is possible to show mathematically even though I'm not going to do so here, that this formula gives you the optimal value of theta in the sense that if you set theta equal to this, that's the value of theta that minimizes the cost function J of theta for the new regressionSo far, the balance seems to favor normal the normal equation. Here are some disadvantages of the normal equation, and some advantages of gradient descent. Gradient descent works pretty well, even when you have a very large number of features. So, even if you have millions of features you can run gradient descent and it will be reasonably efficient. It will do something reasonable. In contrast to normal equation, In, in order to solve for the parameters data, we need to solve for this term. We need to compute this term, X transpose, X inverse. This matrix X transpose X. That's an n by n matrix, if you have n features.
Normal Equation
Note:[8:00 to 8:44 - The design matrix X (in the bottom right side of the slide) given in the example should have elements x with subscript 1 and superscripts varying from 1 to m because for all m training sets there are only 2 featuresx_0x0andx_1x1. 12:56 - The X matrix is m by (n+1) and NOT n by n. ]
Gradient descent gives one way of minimizing J. Let’s discuss a second way of doing so, this time performing the minimization explicitly and without resorting to an iterative algorithm. In the "Normal Equation" method, we will minimize J by explicitly taking its derivatives with respect to the θj ’s, and setting them to zero. This allows us to find the optimum theta without iteration. The normal equation formula is given below:
\theta = (X^T X)^{-1}X^T yθ=(XTX)−1XTy
There isno needto do feature scaling with the normal equation.
The following is a comparison of gradient descent and the normal equation:
Gradient DescentNormal Equation
Need to choose alpha
No need to choose alpha
Needs many iterations
No need to iterate
O (kn^2kn2)
O (n^3n3), need to calculate inverse ofX^TXXTX
Works well when n is large
Slow if n is very large
With the normal equation, computing the inversion has complexity\mathcal{O}(n^3)O(n3). So if we have a very large number of features, the normal equation will be slow. In practice, when n exceeds 10,000 it might be a good time to go from a normal solution to an iterative process.
In this video I want to talk about the Normal equation and non-invertibility. This is a somewhat more advanced concept, but it's something that I've often been asked about. And so I want to talk it here and address it here. But this is a somewhat more advanced concept, so feel free to consider this optional material. So for those of you that know a bit more linear algebra you may know that only some matrices are invertible and some matrices do not have an inverse we call those non-invertible matrices. Singular or degenerate matrices.but Octave hast two functions for inverting matrices. One is called pinv, and the other is called inv. And the differences between these two are somewhat technical. One's called the pseudo-inverse, one's called the inverse. But you can show mathematically that so long as you use the pinv function then this will actually compute the value of data that you want even if X transpose X is non-invertible. The first cause is if somehow in your learning problem you have redundant features. Concretely, if you're trying to predict housing prices and if x1 is the size of the house in feet, in square feet and x2 is the size of the house in square meters, then you know 1 meter is equal to 3.28 feet Rounded to two decimals. And so your two features will always satisfy the constraint x1 equals 3.28 squared times x2. And you can show for those of you that are somewhat advanced in linear Algebra, but if you're explaining the algebra you can actually show that if your two features are related, are a linear equation like this. Then matrix X transpose X would be non-invertable. The second thing that can cause X transpose X to be non-invertable is if you are training, if you are trying to run the learning algorithm with a lot of features. Concretely, if m is less than or equal to n. For example, if you imagine that you have m = 10 training examples that you have n equals 100 features then you're trying to fit a parameter back to theta which is, you know, n plus one dimensional. So this is 101 dimensional, you're trying to fit 101 parameters from just 10 training examples. But commonly what we do then if m is less than n, is to see if we can either delete some features or to use a technique called regularization which is something that we'll talk about later in this class as well, that will kind of let you fit a lot of parameters, use a lot features, even if you have a relatively small training set. But this regularization will be a later topic in this course.
Normal Equation Noninvertibility
When implementing the normal equation in octave we want to use the 'pinv' function rather than 'inv.' The 'pinv' function will give you a value of\thetaθeven ifX^TXXTXis not invertible.
IfX^TXXTXisnoninvertible,the common causes might be having :
Redundant features, where two features are very closely related (i.e. they are linearly dependent)
Too many features (e.g. m ≤ n). In this case, delete some features or use "regularization" (to be explained in a later lesson).
Solutions to the above problems include deleting a feature that is linearly dependent with another or deleting one or more features when there are too many features.